接地の電位分布イメージを得る手段

 接地極周辺の地表面や土壌内部での電位分布についてより良く解るイメージを得る手段を模索しているものです。
 一つ目は手ごろに適用できる回路シミュレータ(LTspice)によるグリッドモデルを試してみたものです。 誘電率は抵抗に並列接続したコンデンサで扱うべきですが まずは含めず接地極の導体抵抗・土壌との接触抵抗・土壌の抵抗だけとしています。
接地抵抗のモデル



接地の抵抗網モデル

LTspice回路モデルファイル
接地の電位分布イメージ



接地の電位分布コンター


 二つ目は 既存の導出式により「接地棒からの距離対地表電位」をグラフ化してみます。長さにくらべ小さな断面径の棒状電極を地面に垂直にその天端を地表面にまで打ち込んだスタイルでの算式です。電極が持つ電荷起源の電位計算なので接地抵抗概念を入れず眺められ分かり良いですが抵抗成分を含む誘電体との差が気になってきます。

 土壌の比誘電率は土の粒子を構成する鉱物粒子の比誘電率が概ね5〜9程度であることから、乾燥した土壌の比誘電率は固相率(隙間の程度)を考慮すると3〜5程度の値をとります。また、液状の水の誘電率は大きく 約80 (20℃)もあるので、湿分のある土壌では見かけの誘電率が含水率に左右され、土性や固相率の影響が少なく体積含水率で定まる特異性を持ちます。

導出式 Q : 電極の電荷(J)
l : 電極長さ(m)
ε : 土壌の誘電率(F/m)
S : 接地棒からの距離(m)
導出式の対応図

離隔距離Sの電位は半径Sの半球面積にわたり誘電体切り口の分極電荷を積分したものとの考え方に基づいています。

電位分布イメージ



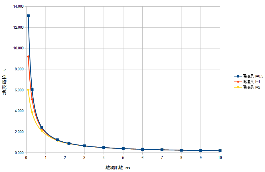
接地棒からの距離対地表電位

電極の電荷 100ジュール
土壌の誘電率 4
電極長さ 0.5m/1.0m/2.0m
電位分布イメージ



接地棒からの距離対地表電位
(横軸対数)

条件は上と同じ
電気設備の技術基準の解釈の解説 に登場する電位分布説明図



これは 電気設備の技術基準の解釈の解説(経済産業省) に登場する説明図で、上記同様の接地棒天端が地表および深く埋める場合の電位分布の変化が説明されています。



2022.10.23 jh3fja Rev1
2022.10.17 jh3fja
earth_pot.htm